반응형
유도전동기의 동기속도 Ns가 회전자의 속도 N 보다 빨라야 한다.(Ns > N)
사실 Ns가 N을 끌어준다. Ns와 N간의 미끄러움(슬립 s)이 발생한다.

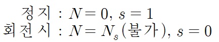
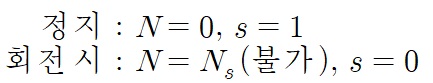
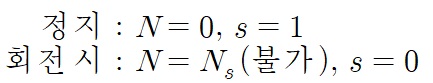
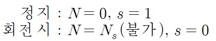
(1) 슬립의 범위
㉠ 정회전 시(0<s<1)

㉡ 역회전 시(1<s<2)

반응형
'전기기사 > 전기기기' 카테고리의 다른 글
| [유도전동기]4. 유도전동기의 토크, 최대 토크 (0) | 2020.09.04 |
|---|---|
| [유도전동기]3. 유도전동기의 원리 (0) | 2020.09.03 |
| [유도전동기]1. 유도전동기의 구조, 구성 (0) | 2020.09.01 |
| [변압기]8. 특수 변압기 (0) | 2020.08.28 |
| [변압기]7. 변압기의 병렬운전 (0) | 2020.08.27 |