반응형
(1) 원리 : 유도전동기의 원리는 변압기의 원리와 같다.

유도전동기의 유기기전력

(2) 운전 시 2차측 회로
① 정지 시

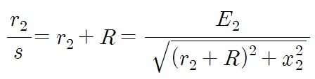
② 운전 시






③ 정지 시와 비교하면 R이 다르다.

R은 출력에 해당하는 저항

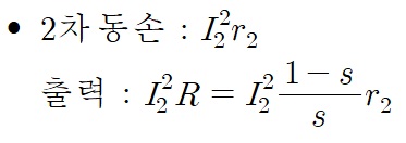
(3) 동손, 출력, 입력, 슬립간의 관계

(4) 효율

반응형
'전기기사 > 전기기기' 카테고리의 다른 글
| [유도전동기]5. 비례추이 (0) | 2020.09.05 |
|---|---|
| [유도전동기]4. 유도전동기의 토크, 최대 토크 (0) | 2020.09.04 |
| [유도전동기]2. 슬립 (0) | 2020.09.02 |
| [유도전동기]1. 유도전동기의 구조, 구성 (0) | 2020.09.01 |
| [변압기]8. 특수 변압기 (0) | 2020.08.28 |