반응형
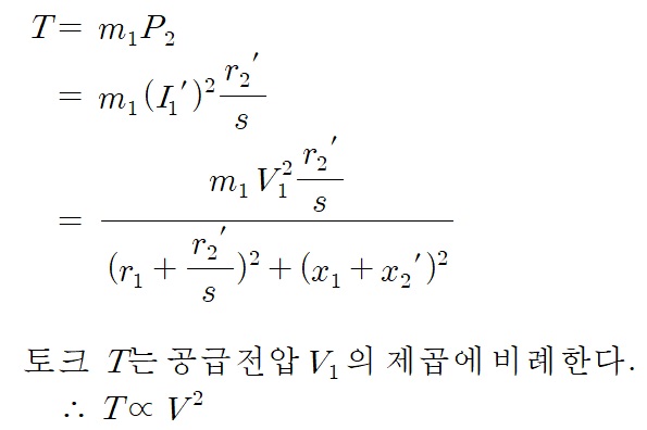
(1) 토크(회전력)

등가회로


(2) 기동토크, 최대 토크
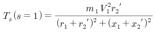
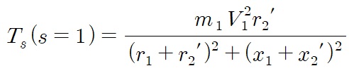
㉠ 정지 시 토크(기동토크)


㉡ 최대 토크 시 슬립(2차 입력의 기울기가 0인 지점)

㉢ 최대 토크
토크식에 최대 토크일 때의 슬립 식을 대입하면 최대 토크를 구할 수 있다.

반응형
'전기기사 > 전기기기' 카테고리의 다른 글
| [유도전동기]6. 원선도 (0) | 2020.09.06 |
|---|---|
| [유도전동기]5. 비례추이 (0) | 2020.09.05 |
| [유도전동기]3. 유도전동기의 원리 (0) | 2020.09.03 |
| [유도전동기]2. 슬립 (0) | 2020.09.02 |
| [유도전동기]1. 유도전동기의 구조, 구성 (0) | 2020.09.01 |