반응형
⦁ 회로

⦁ 속도특성

1. 정격 운전 중 분권계자가 단선되면 자속이 0, 속도 N이 무한하게 된다.(위험속도)
2. 속도제어
계자저항 Rf 증가하면 계자전류 If가 감소, 계자전류 감소로 인해 자속이 감소하면 속도가 증가한다.
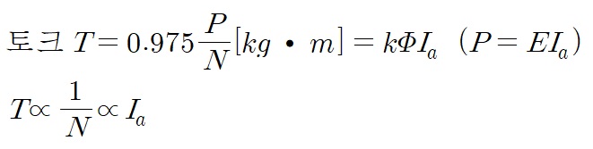
⦁ 토크

⦁ 용도(분권 전동기는 정속도 전동기)
공작기계, 압연기
반응형
'전기기사 > 전기기기' 카테고리의 다른 글
| [직류기]11. 전동기의 운전 (0) | 2020.08.11 |
|---|---|
| [직류기]10. 직권 전동기 (0) | 2020.08.10 |
| [직류기]8. (타여자) 전동기 (0) | 2020.08.08 |
| [직류기]7. 병렬운전 조건 (0) | 2020.08.07 |
| [직류기]6. 직류발전기의 종류, 종류별 특성 (0) | 2020.08.06 |