반응형


계자가 일정할 때 전기자 전류의 방향을 바꾸면 회전방향이 바뀐다.
전기자 전류의 방향이 일정할 때 계자(주자속)의 방향을 변경하면 회전방향이 바뀐다.
기동 : 기동전류는 작아야 한다. 기동토크는 커야한다.
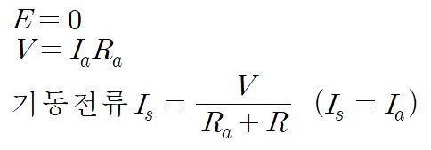
기동 시는 회전하고 있지 않을 때를 말한다.
회전하고 있지 않을 때 역기전력은 0

전기자 저항 Ra는 상당히 작은 값이다. 따라서 정격전압에 의한 기동전류는 무지 큰 값으로 흐르고 그것을 방지하기 위해 전기자저항 앞단에 저항 R을 연결한다.

⦁ 속도 N[rpm]

⦁ 토크 T[N⋅m]
T=F⋅r[N⋅m]

⦁ 토크식

⦁ 용도
압연기, 엘리베이터
반응형
'전기기사 > 전기기기' 카테고리의 다른 글
| [직류기]10. 직권 전동기 (0) | 2020.08.10 |
|---|---|
| [직류기]9. 분권 전동기 (0) | 2020.08.09 |
| [직류기]7. 병렬운전 조건 (0) | 2020.08.07 |
| [직류기]6. 직류발전기의 종류, 종류별 특성 (0) | 2020.08.06 |
| [직류기]5. 정류작용 (0) | 2020.08.05 |