반응형
정류 : 교류를 직류로 정류 변환


정류종류

① 직선 정류 : 이상적인 정류
② 정현파 정류(보극 설치) : 불꽃이 없는 정류
③ 부족 정류 : 브러시 뒤편에 불꽃이 발생
④ 과 정류(보극이 과하게 설치) : 브러시 앞면에 불꽃이 발생
정류시간(Tc)


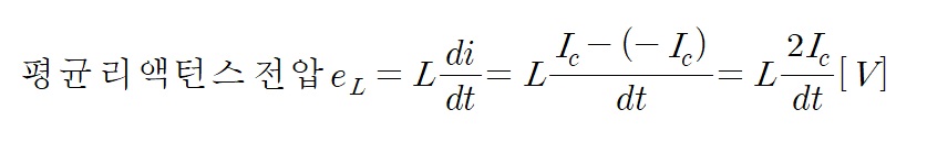
리액턴스 전압
정류를 하는 동안 리액턴스 전압이 발생(코일이기 때문에)

※ 리액턴스 전압은 정류가 잘되는 것을 방해한다.
양호한 정류가 되기 위해서는
⦁ 리액턴스 전압이 작을 것
⦁ 인덕턴스가 작을 것
⦁ 정류주기가 클 것 → 회전속도가 느릴 것
⦁ 적당한 보극 설치
⦁ 접촉저항이 큰 브러시를 사용(탄소질 브러시)
반응형
'전기기사 > 전기기기' 카테고리의 다른 글
| [직류기]7. 병렬운전 조건 (0) | 2020.08.07 |
|---|---|
| [직류기]6. 직류발전기의 종류, 종류별 특성 (0) | 2020.08.06 |
| [직류기]4. 전기자 반작용 (0) | 2020.08.04 |
| [직류기]3. 직류발전기의 유도기전력 (0) | 2020.08.03 |
| [직류기]2. 전기자 권선법 (0) | 2020.08.02 |