⦁ 기동
기동전류는 작아야 한다.
기동토크는 커야 한다.
⦁ 속도제어

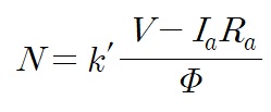
전압, 전기자 저항, 자속을 변화시키는 방법으로 속도를 제어한다.

회전속도 N과 토크 T, 출력은 서로 상관관계가 있다.
1. 전압제어
- 전압을 조절해서 회전속도를 조절하더라도 토크는 변함이 없다.(★정토크 제어)
- 제어범위가 넓다.
- 효율이 좋다.
- 비용이 많이 든다.
- 종류 : 워드-레오나드 방식, 일그너 방식, 쵸퍼 방식, 정지형 워드-레오나드방식
2. 계자제어
- 계자를 조절해서 회전속도를 조절하더라도 출력은 변함이 없다.(★정출력 제어)
- 계자저항 값을 증가(감소)시키면 속도가 증가(감소)
- 속도제어 범위가 좁다
3. 저항제어
- 전력손실(저항손실)이 많으므로 효율이 나쁘다. 따라서 활용을 하지 않음.
⦁ 제동
1. 발전제동 : 입력전압을 제거, 관성에 의해 역기전력을 유지되며 전압이 제거된 자리에 저항을 연결하여 역기전력을 통해 저항에 전압이 유기, 열방출.
2. 회생제동 : 발전제동의 저항 대신 배터리를 연결, 배터리를 충전. 전동차에서 사용.
3. 역상(플러깅)제동 : 입력전압을 제거하고 역토크를 가한다. 급제동 시 사용.
⦁ 손실
(1) 고정손(무부하손)
- 철손(히스테리시스손, 와류손)
- 기계손(마찰손, 풍손)
(2) 가변손(부하에 따라 변한다, 부하손)
- 동손(전류에 가변함에 따라 발생하는 저항손)
- 표유부하손(기타)
⦁ 효율
입력 = 출력+손실
출력 = 입력-손실

⦁ 최대 효율 조건
고정손(무부하손, 철손)과 가변손(부하손, 동손)이 같을 때 최대효율이 된다.
'전기기사 > 전기기기' 카테고리의 다른 글
| [동기기]2. 동기발전기의 권선법 (0) | 2020.08.13 |
|---|---|
| [동기기]1. 동기 발전기 (0) | 2020.08.12 |
| [직류기]10. 직권 전동기 (0) | 2020.08.10 |
| [직류기]9. 분권 전동기 (0) | 2020.08.09 |
| [직류기]8. (타여자) 전동기 (0) | 2020.08.08 |