본문 바로가기
전기공사기사/전기응용 및 공사재료

(전기공사기사)2018년 4회차 기출문제

by Aldrin 2020. 3. 12.
반응형

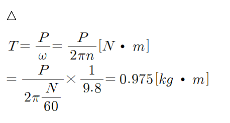
출력 P[], 속도 N[rpm]3상 유도전동기의 토크[·m]?

 

 

 

 리튬전지의 특징이 아닌 것은?

   자기방전이 크다.

   에너지 밀도가 높다.

   기전력이 약 3V 정도로 높다.

   동작온도범위가 넓고 장기간 사용이 가능하다.

 

리튬 전지의 특징

에너지 밀도가 높다.

자기방전에 의한 전력손실이 매우 적다.

기전력이 약 3[V] 정도로 높다.

동작온도범위가 넓고 장기간 사용이 가능하다.

 

 

 

 트랜지스터의 안정도가 제일 좋은 바이어스법은?

   고정 바이어스 조합 바이어스

   전압궤환 바이어스 전류궤환 바이어스

 

조합 바이어스(combinational bias)

트랜지스터 회로 바이어스 법의 일종으로, 전류 궤환 바이어스법과 전압 궤한 바이어스법을 조합시킨

것으로 전류 전압 궤환 바이어스라고 한다. 안정도는 좋으나 전압 궤환 회로의 문제점인 부하가 저항

이 아니면 사용할 수 없다는 것과 교류 동작에도 부궤환이 걸린다는 문제점은 존재한다.

 

 

 

 전등효율이 14lm/W100W LED 전등의 구면광도는 약 몇 cd인가?

   95 111

   120 127

 

 

 

 

 금속이나 반도체에 전류를 흘리고 이것과 직각 방향으로 자계를 가하면 전류와 자계가 이루는 면에 직각 방향으로 기전력이 발생한다. 이러한 현상은?

   (hall) 효과 핀치(pinch) 효과

   제벡(seebeck) 효과 펠티에(peltier) 효과

 

홀효과 : 도체나 반도체의 물질에 전류를 흘리고 이것과 직각 방향으로 자계를 가하면 전류와 자계가 이루는 면에 직각방향으로 기전력이 발생되는 현상이다.

핀치효과 : 용융체에 강한 전류를 통하면 전자력에 의한 인력이 커지므로 용융체가 도중에서 끊어져 전류가 끊어지는 현상을 말한다.

제벡효과 : 열전온도계, 즉 두 금속을 두 접점으로 폐회로를 만들고 두 접점의 온도를 달리하면 기전

력이 발생한다. 이 열기전력은 두 접점간의 온도차에 비례한다. 이 두 금속을 열전대라하고 이것을 이

용한 것이 열전 온도계이다.

펠티에 효과 : 서로 다른 두 종류의 금속선으로 폐회로를 만들고 온도를 일정하게 유지하면서 전류를

흘리면 금속선의 접속점에서 열의 흡수(온도 강하) 또는 발생(온도 상승)이 일어나는 현상이다.

 

 

 

 단상 유도전동기 중 기동 토크가 가장 큰 것은?

   반발 기동형 분상 기동형

   콘덴서 기동형 세이딩 코일형

 

단상 유도전동기의 기동토크의 크기

반발 기동형 > 반발 유도형 > 콘덴서 기동형 > 분상 기동형 > 셰이딩 코일형

 

 

 

 형태가 복잡하게 생긴 금속 제품을 균일하게 가열하는데 가장 적합한 가열방식은?

   염욕로 흑연화로

   카보런덤로 페로알로이로

 

염욕로

간접식 저항로의 일종으로 NaCl, KCl 등의 용융엽에 직접 통전하여 가열하고, 피열물(형체가 복잡하게 생긴 제품)을 그 속에 넣어 가열한다.

, 경합금 등의 균열, 항온, 급열, 급랭 등의 열처리에 사용된다.

 

 

 

 열차의 설비에 의한 전력 소비량을 감소시키는 방법이 아닌 것은?

    회생제동을 한다.

    직병렬 제어를 한다.

    기어비를 크게 한다.

    차량의 중량을 경감한다.

 

차량 조건에 의한 전력소비량 감소

차량의 중량을 감소시킨다.

기어비를 적절하게 한다.

제어법을 개선한다.

회생제동방식을 사용한다.

 

 

 

 금속관(규격품) 1본의 길이는 약 몇 m인가?

    4.44 3.66

    3.56 3.3

 

금속관 1본의 길이 : 3.66[m]

합성 수지관 1본의 길이 : 4[m]

 

 

 

 지선과 지선용 근가를 연결하는 금구는?

    볼쇄클 U볼트

    지선롯트 지선밴드

 

볼쇄클 : 현수 애자를 완금에 내장으로 시공할 때 사용하는 금구류

U볼트 : 전주 근가를 전주에 부착시키는 금구

지선 롯트 : 지선과 지선용 근가를 연결시키는 금구

지선 밴드 : 지선을 지지물에 부착할 때 사용하는 금구류

 

 

 

 비포장 퓨즈의 종류가 아닌 것은?

    실퓨즈 핀퓨즈

    고리퓨즈 플러그퓨즈

 

포장 퓨즈 : 가용체를 절연물 또는 금속으로 충분히 포장한 구조의 플러그 퓨즈를 말한다.

비포장 퓨즈 : 포장 퓨즈 이외의 퓨즈를 말하며 방출형의 것을 포함한다.

 

 

 

 수전설비를 주차단장치의 구성으로 분류하는 방법이 아닌 것은?

    CB PF-S

    PF-CB PF-PF

 

종류

주 차단기

CB

차단기를 사용한 것

PF-CB

한류형 전력 퓨즈와 차단기를 조합 사용한 것

PF-S

전력 퓨즈와 고압 개폐기를 사용한 것

 

 

 

 행거밴드란 무엇인가?

    완금을 전주에 설치하는데 필요한 밴드

    완금에 암타이를 고정시키기 위한 밴드

    전주 자체에 변압기를 고정시키기 위한 밴드

    전주에 COS 또는 LA를 고정시키기 위한 밴드

 

완금 밴드 : 완금을 전주에 설치하는데 필요한 밴드

암타이 밴드 : 완금에 암타이를 고정시키기 위한 밴드

행거 밴드 : 전주 자체를 변압기에 고정시키기 위한 밴드

브라켓트 : 전주에 COS 또는 LA를 고정시키기 위한 밴드

 

 

 

 백열전구의 앵커에 사용되는 재료는?

     크롬

    망간 몰리브덴

 

앵커(anchor)는 필라멘트를 점화시에 움직이지 않도록 지지하는 것으로서 그 지지점의 온도에서도 강도가 변화되지 않고 또한 유리와 잘 밀착되는 몰리브덴선을 사용한다.

 

 

 

 저압의 전선로 및 인입선의 중성선 또는 접지측 전선을 애자의 빛깔에 의하여 식별하는 경우 어떤 빛깔의 애자를 사용하는가?

    흑색 청색

    녹색 백색

 

애자의 종류

색별

특고압용 핀 애자

저압용 애자(접지측 제외)

접지측 애자

적색

백색

청색

 

 

 

 방전등의 일종으로서 효율이 대단히 좋으며, 광색은 순황색이고 연기나 안개 속을 잘 투과하며 대비성이 좋은 것은?

    수은등 형광등

    나트륨등 요오드등

 

 

 

 금속덕트 공사에서 금속덕트의 설명으로 틀린 것은?

    덕트 철판의 두께가 1.2이상일 것

    폭이 5를 초과하는 철판으로 제작할 것

    덕트의 바깥면만 산화방지를 위한 아연도금을 할 것

    덕트의 안쪽면만 전선의 피복을 손상시키는 돌기가 없을 것

 

금속 덕트 공사 판단기준

폭이 5[cm]를 초과하고 또한 두께가 1.2[mm] 이상인 철판 또는 동등 이상의 세기를 가지는 금속제의 것으로 견고하게 제작한 것일 것.

안쪽 면은 전선의 피복을 손상시키는 돌기가 없는 것일 것.

안쪽 면 및 바깥 면에는 산화 방지를 위하여 아연도금 또는 이와 동등 이상의 효과를 가지는 도장을 한 것일 것.

 

 

 

 보호계전기의 종류가 아닌 것은?

    ASS OVR

    SGR OCGR

 

ASS : 자동 고장 구분 개폐기

OVR : 과전압 계전기

SGR : 선택 지락 계전기

OCGR : 과전류 지락 계전기

 

 

반응형