반응형
반응형
'전기기사 > 회로이론' 카테고리의 다른 글
[회로이론]유효전력, 무효전력, 피상전력 (0) | 2023.08.04 |
---|---|
[회로이론]R, L, C 수동소자 (0) | 2023.07.28 |
[회로이론]직류, 교류 정현파 (0) | 2023.07.21 |
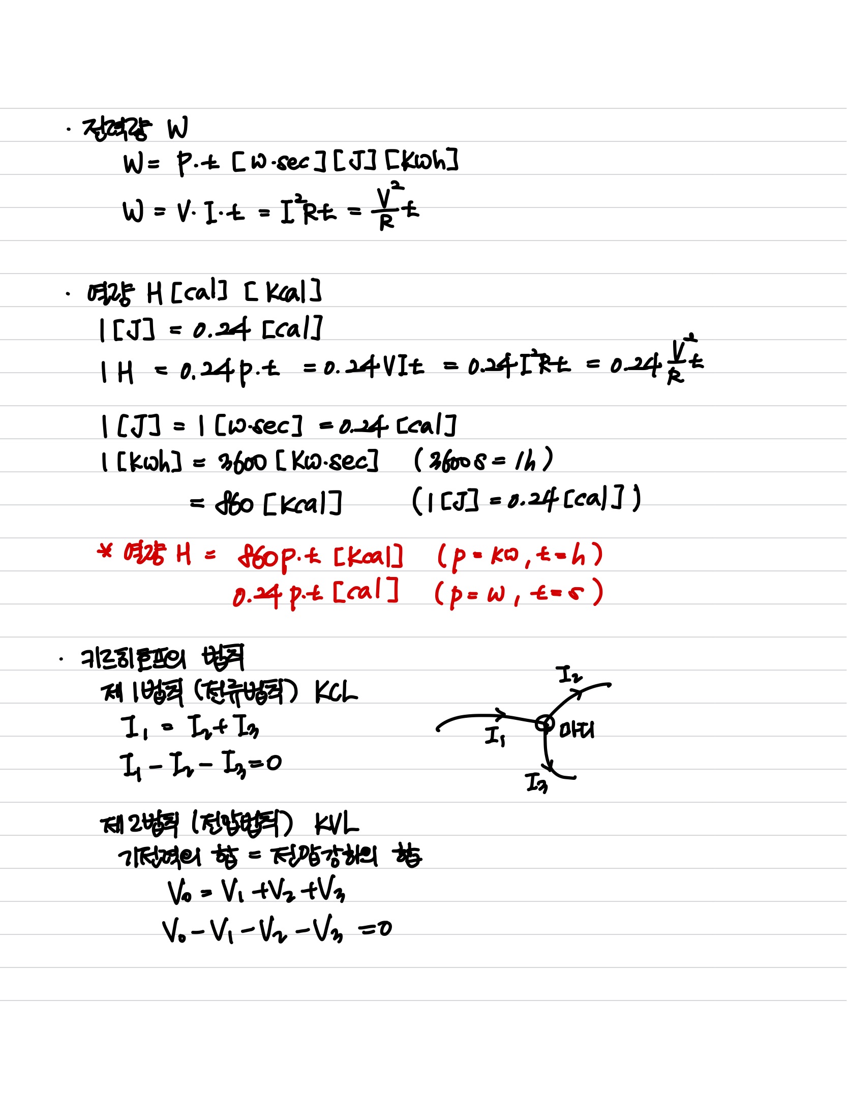
[회로이론]전지의 직, 병렬 연결, 배율기, 분류기, 휘스톤 브릿지 (0) | 2023.07.14 |
[제어공학]라플라스 변환 (0) | 2020.07.18 |