본문 바로가기
전기기사/회로이론

[제어공학]라플라스 변환

by Aldrin 2020. 7. 18.
반응형

1. 라플라스 변환이란? 주파수 해석을 위해 시간 함수 f(t)를 주파수 함수 F(s)로 변환하는 것

 

 

2. 정의식

 ⦁ 정적분의 범위(스위치를 ON한 순간부터) : 0 ~

 ⦁ e의 자승은 (-) : 문제의 보기에 e가 있다면 마이너스 자승을 가져야 정답.

 

 

3. 단위 임펄스 함수 δ(t) : 면적이 1이고 지속시간이 짧은 함수

 

4. 단위 계단 함수(unit step function) u(t) : 계단 함수 중에서 크기가 1인 신호(0 ~ )

 ⦁ t > 0, 1

 ⦁ t 0, 0

 

5. 단위 계단 함수의 시간 이동 정리(t(x) 이동)

단위 계단 함수식에서 t(x)축으로 +a만큼 이동, 그 때의 라플라스 변환(e의 자승의 변화)

 

6. 단위 계단 함수의 y축 이동

u(t)에서 2만큼 높이가 증가

 

7. 단위 계단 함수 문제(네모네모 문제)

 ※ 값이 변화하는 지점을 체크

 ex) 4u(t-2)-4u(t-a) 기사문제 예제 확인

 

 

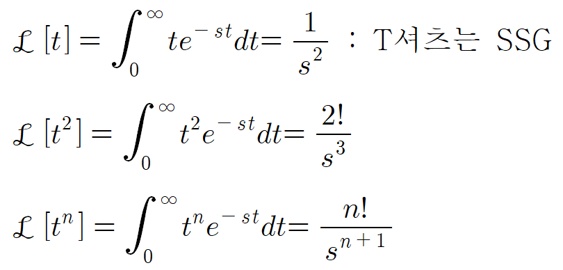
8. 단위 경사 함수(램프함수) : f(t)=tu(t)

 

9. 지수 감쇠 함수

 

10. 복소 추이 정리

이(e)마(마이너스)에 쁠(플러스)

ex)

 

11. 삼각함수 : s를 두 개로 맞추자

 추가)

 

그냥 암기)

 

12. 삼각함수 복소 추이 정리

 

13. sin, cos 미분

 ⦁ sin= (+)cos

 ⦁ cos= (-)sin

 ⦁ (sin2t)= cos(2t)= 2cos2t

 ⦁ (cos2t)= -sin(2t)= -2sin2t

 

14. 쌍곡선 함수

 

15. 최종값(=정상값=목표값) 정리

분모, 분자의 마지막 항만을 고려하여 약분하여 빠르게 풀이 가능

 

 

16. 라플라스 역변환(시간함수를 구하라) 연습필요

* 보기에서 힌트

(1) 완전 제곱식 꼴로 풀이(보기에 sin이나 cos일 경우)

(2) 부분분수로 풀이(보기에 sin이나 cos이 없을 경우)

 

 

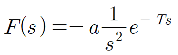
17. 램프함수(f(t)=at, a:기울기, 상수)

(1) f(t)=at(원점에서 1차 함수의 기울기를 그림)일 때

(2) f(t)=a(t-T)(t=T에서 1차 함수의 (-)기울기를 그림)

 

18. 상어형 그래프

① 1, (-), (-)

② 지수가 계수로 있어야 함ㅋ

 

 

 

 

 

반응형