반응형
(1) 속도 제어

㉠ 농형
① 전압 제어(s 제어)

② 주파수 제어 : 선박용 전동기나 실공장에서 사용

③ 극수 제어
⦁ 효율이 좋고 단계적으로 속도 제어가 된다.
㉡ 권선형
① 비례추이(2차 저항법)

효율이 나쁘고 제어범위가 좁다.
속도제어가 용이하다.
② 2차 여자법

Ec의 전압을 만들어주는 방법
정류자전동기, 정류자형주파수변환기, 동기변류기
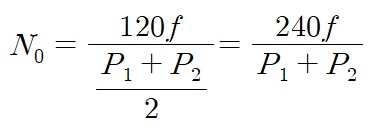
③ 종속법

⦁ 직렬 종속법

⦁ 직렬 차동 종속법

⦁ 병렬 종속법

(2) 역회전 조건 : 3상의 임의의 두 선을 바꾼다.
(3) 제동법
㉠ 발전제동 : 전원을 끊고 관성에 의해서 전동기가 회전하며 발전기로 전환, 발전기에서 발전된 전력을 열로서 소모
㉡ 회생제동 : 발전제동과 같은 방법으로 발전된 전력을 전원으로 충전
㉢ 역상제동 : 회전방향과 역토크를 주어서 급정지시키는 방법
반응형
'전기기사 > 전기기기' 카테고리의 다른 글
| [유도전동기]11. 단상 유도 전동기 (0) | 2020.09.11 |
|---|---|
| [유도전동기]10. 유도전동기의 이상 현상 (0) | 2020.09.10 |
| [유도전동기]8. 유도전동기의 기동 (0) | 2020.09.08 |
| [유도전동기]7. 주파수에 따른 유도전동기 특성 (0) | 2020.09.07 |
| [유도전동기]6. 원선도 (0) | 2020.09.06 |