반응형
1. 직선운동
2. 회전운동
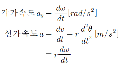
3. 가속도
4. 관성모멘트 : 현재의 운동상태를 계속 유지하려는 에너지
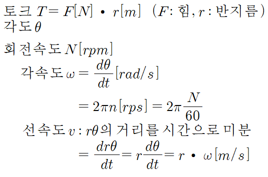
5. 토크 : 회전에너지
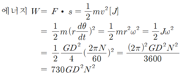
6 .에너지
7. 일률
8. 안정운전조건(속도-토크곡선)
속도가 상승함에 따라
반응형
'전기공사기사 > 전기응용 및 공사재료' 카테고리의 다른 글
[전기응용]전기철도의 전식(전기적인 부식) (0) | 2020.04.20 |
---|---|
[전기응용]전동기 용량(출력) 계산 (0) | 2020.04.19 |
[전기응용]전열 공학 (0) | 2020.04.17 |
(전기공사기사)2019년 4회차 기출문제 (2) | 2020.03.15 |
(전기공사기사)2019년 2회차 기출문제 (0) | 2020.03.14 |